无障碍
登录
注销
注册
繁体
搜索
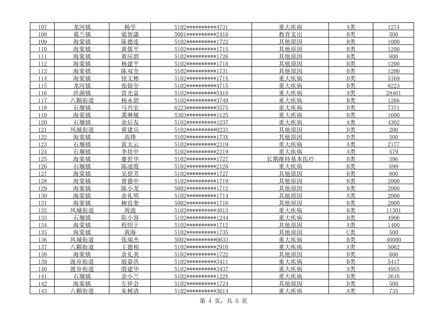
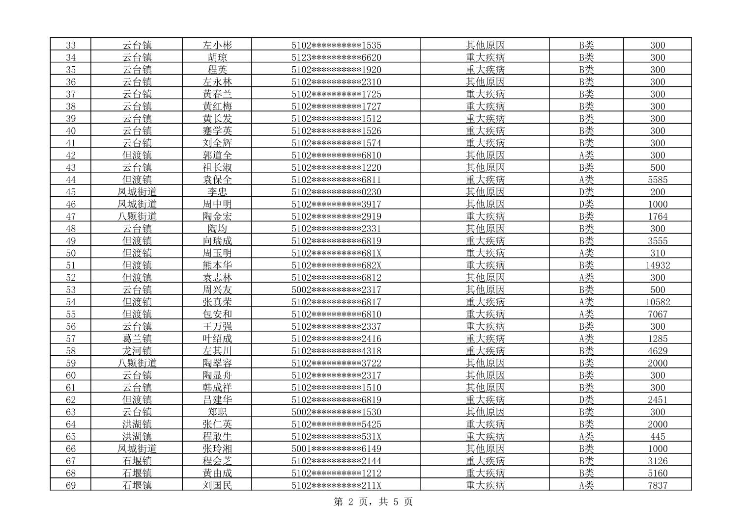
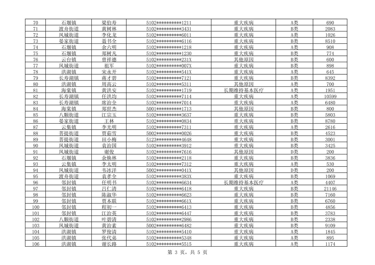
2026年2月重庆市长寿区临时救助金发放情况
发布时间: 2026-03-27
【字体:
大
中
小
】
扫一扫在手机打开当前页
15572635
2026年2月重庆市长寿区临时救助金发放情况
409977
养老补贴发放
20
长寿区民政局
2026-03-27